

無線通信、光纖通信、高速數據網絡產品不斷推出,信息處理高速化、無線模擬前端模塊化,這些對數字信號處理技術、IC工藝、微波PCB設計提出新的要求,另外對PCB板材和PCB工藝提出了更高要求。
如商用無線通信要求使用低成本的板材、穩定的介電常數(εr變化誤差在±1-2%間)、低的介電損耗(0.005以下)。具體到手機的PCB板材,還需要有多層層壓、PCB加工工藝簡易、成品板可靠性高、體積小、集成度高、成本低等特點。為了挑戰日益激烈的市場競爭,電子工程師必須在材料性能、成本、加工工藝難易及成品板的可靠性間采取折衷。
目前可供選用的板材很多,有代表性的常用板材有:環氧樹脂玻璃布層壓板FR4、多脂氟乙烯PTFE、聚四氟乙烯玻璃布F4、改性環氧樹脂FR4等。特殊板材如:衛星微波收發電路用到藍寶石基材和陶瓷基材;微波電路基材GX系列、RO3000系列、RO4000系列、TL系列、TP-1/2系列、F4B-1/2系列。它們使用的場合不同,如FR4用于1GHz以下混合信號電路、多脂氟乙烯PTFE多用于多層高頻電路板、聚四氟乙烯玻璃布纖維F4用于微波電路雙面板、改性環氧樹脂FR4用于家用電器高頻頭(500MHz以下)。由于FR4板材易加工、成本低、便于層壓,所以得到廣泛應用。
下面我們從微帶傳輸線特性、多層板層壓工藝、板材參數性能比較等多個方面分析,給出了對于特殊應用的PCB板材選取方案,總結了高頻信號PCB設計要點,供廣大電子工程師參考。
1、微帶傳輸線傳輸特性
板材的性能指標包括有介電常數εr、損耗因子(介質損耗角正切)tgδ、表面光潔度、表面導體導電率、抗剝強度、熱漲系數、抗彎強度等。其中介電常數εr、損耗因子是主要參數。
高速數據信號或高頻信號傳輸常用到微帶線(Microstrip Line),由附著在介質基片兩邊的導帶和導體接地板構成,且導帶一部分暴露在空氣中,信號在介質基片和空氣這兩種介質中傳播引起傳輸相速不等會產生輻射分量、如果合理選用微帶尺寸這種分量很小。
圖一 基片結構示意
如圖一基片結構所示,銅皮厚t一般很小,在0.5OZ(17μm、0.7mil)到1 OZ(35μm、1.35mil),導帶特性有基片介電常數εr、線寬W、板厚d決定。
(1)微帶傳輸線特性阻抗
微帶傳輸線的特性阻抗Z0計算如下:當w/d ≤1,微帶傳輸線的特性阻抗Z0表示為:
當w/d ≥1,微帶傳輸線的特性阻抗Z0表示為:
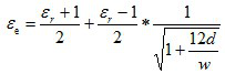
其中εe叫有效介電常數,是把兩種介質對微帶特性阻抗的貢獻等效為一種假想的均勻介質。
(1)微帶傳輸線特性阻抗
微帶傳輸線的特性阻抗Z0計算如下:當w/d ≤1,微帶傳輸線的特性阻抗Z0表示為:
![]()
當w/d ≥1,微帶傳輸線的特性阻抗Z0表示為:

其中εe叫有效介電常數,是把兩種介質對微帶特性阻抗的貢獻等效為一種假想的均勻介質。

圖二說明了Z0和W/d、εr間的關系,W/d愈大Z0愈低、εr愈大Z0愈低。