

導語
在 LED 鋁基板中,絕緣層熱傳導性能直接決定了器件的熱能轉化效率與壽命。熱管理的瓶頸往往來源于絕緣層的物理特性,而非金屬導熱部分。本文將從微觀傳熱模型、材料性能極限,到失效機制進行全鏈路解析,為工程設計與材料選擇提供科學依據。
1.1 聲子傳熱在非金屬材料中的主導作用
在絕緣聚合物和陶瓷填充材料中,熱量主要依靠聲子(晶格振動量子)傳遞。與電子導熱不同,聲子傳熱受晶格缺陷、界面散射等影響,導致熱導率隨溫度和結構的變化而顯著波動。
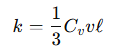
1.2 熱導率(k)的數學表達
熱導率可通過聲子氣體模型近似計算:

其中,C_v 為單位體積熱容,v 為聲子傳播速度,\ell 為平均自由程。該模型揭示了提高熱導率可從提升聲子速度與減少散射損失兩方面著手。
1.3 絕緣層中的熱阻網絡模型
絕緣層通常包含聚合物基體與高導熱填料,其傳熱路徑可抽象為串并聯的熱阻網絡。優化填料體積分數與界面結合質量,是突破熱阻瓶頸的核心手段。
分類 | 微觀結構特征 | 熱導率范圍 (W/m?K) | 理論極限 |
環氧樹脂基 | 非晶網絡 + 隨機填料 | 0.8-1.8 | 2.5 |
聚酰亞胺基 | 液晶域 + BN 定向排布 | 3.0-9.1 | 12 |
陶瓷填充聚合物 | 三維陶瓷骨架 | 4.2-12.5 | 30 |
? 環氧樹脂基:加工方便,但受限于非晶結構,熱導率低,適用于中低功率 LED。
? 聚酰亞胺基:通過氮化硼 (BN) 片材定向排列,可顯著提高熱導率。
? 陶瓷填充聚合物:利用三維陶瓷骨架實現高導熱,但工藝復雜,成本較高。
3.1 熱機械失效
? CTE(熱膨脹系數)失配會在界面處產生熱應力,導致裂紋擴展。
? 當溫度超過交聯斷裂閾值時,聚合物網絡結構崩解。
3.2 電化學失效
? 高濕高溫條件下,離子遷移會降低絕緣性能。
? 濕熱環境會誘發金屬枝晶生長,形成短路風險。
4.1 超材料應用
? 石墨烯垂直陣列:在 2025 年《Nature》報道中實現了比傳統 BN 填料高出 8 倍的熱導率提升。
? 氮化硼納米管橋接技術:在微觀尺度構建連續導熱通道。
4.2 智能材料探索
? 相變溫控材料:在臨界溫度時吸收多余熱量,實現溫度自調節。